Skip to content

編譯器學習記錄1️⃣:人肉卡西歐計算器

Published:
16
2

Contents

前言:計算器的故事

衆所周知世界上只有兩種計算器,一種是卡西歐函數計算器,另外一種是,😁,其他計算器,,,

卡西歐計算器
卡西歐計算器

俺相信,每個剛踏入初中的小學博士畢業生,在拿到自己的第一臺卡西歐函數計算器之後,都會發出讚歎奇聲如下:

內置數學式解析功能的神奇計算器,這之後的二十年我拼盡全力無法戰勝……我的水平只能支撐我寫出這種東西 😁:

會員制計算器
會員制計算器

俺的 C++ 還不如大一學生的大作業水平 😆

💪🏻 Motivation

有的羣友可能就要問了,你爲什麼閒着沒事幹要研究計算器甚至編譯器呢?原因是,有一位神必人¹在 👉🏻俺的評論區 發表了重要講話,她提到:

逆向工程師的終極必學課程——
是 編譯原理和解釋器設計。😰

此話怎講?現代軟件保護技術以及複雜的軟件架構的演進,已經將戰場推向的更高層次的抽象領域。逆向工程師若僅懂彙編與調試器操作,猶如赤手空拳面對鋼鐵堡壘。

虛擬化保護與自定義指令集已經成高強度軟件保護(如遊戲反作弊、金融安全組件)的標配。以頂尖保護殼 VMProtect 為例,其核心技術在於將原始機器碼轉換為自定義字節碼(opcode),並在獨立的虛擬機(VM)中執行。

然後,著名電腦科學家高德納曾經說過:

若觉几乎所有时间都耗于理论,不妨转而关注实践,理论自会因此精进;
若觉几乎所有时间都耗于实践,不妨转而探究理论,实践亦将因此提升。

理論與實踐是相生相伴,螺旋上升的關係。畫畫如此,逆向工程也是一樣。當我發現我的理論知識已經無法支撐我繼續實踐下去,就到了該惡補理論知識的時候了 😰

🏁 中級目標

越來越多的高級語言都需要一個 VM 來執行,比如說 JS 和 Python。並且,幾乎每一個遊戲引擎都內置了一個 VM 用來執行遊戲腳本——所以 VM 無處不在。

我學習 Crafting Interpreters² 的目標就是學會手撕一個自己的 VM,然後……不知正焉知逆!這將爲我拆解別人的 VM 的時候打下堅實的基礎 😎

我仍然記得三年前嘗試手撕 BGI 引擎³遊戲的驗證而空手而歸的感覺 😕 該遊戲的關鍵邏輯並不在 C++ 層面,而是深藏於 VM 執行的腳本之中,對我造成了降维打擊。

1️⃣ 解析數學式:建立語法樹

然而,一步登天是不可能的,搞逆向可不是搞前端,,,

前端一步登天 be like
前端一步登天 be like

雖然說我可以直接從 VM 和指令的設計開始學,然後直接開逆,不過這會導致俺的知識體系處於一個空中樓閣的狀態。況且,俺也有一個手撕一套屬於自己的語言,編譯器和 VM 的小小願望,這就導致俺必須要從更基礎的,🙀,編譯原理,開始學習。

一說到編譯原理,就有人要提三劍客——龍書,虎書,和鯨書了

🐲🐯🐳
🐲🐯🐳

這是千千萬程序師窮盡一生都無法企及的高度,我先知難而退了 😁

學習嘛,快樂最重要!沒有快樂就沒有堅持,所以俺決定從輕鬆愉快的部分開始。正好,Crafting Interpreters 前幾章正在講怎麼解析數學式。而編譯的很大一部分步驟都是在解析各種式子和語句,所以,讓我先來輕鬆愉快地實現一個計算器。

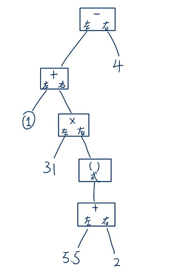
考慮一個數學式如下:

1+31(5.5+2)41 + 31 * (5.5 + 2) - 4

現在電腦來計算這個長算式了,牠需要一個這樣的數據結構:

語法樹
語法樹

從最頂上開始:

  1. 計算一個「減號」,左邊是另外一個「加式」,右邊是 4
  2. 要計算第一步的減,先計算那個「加式」,左邊是 1,右邊是一個「乘式」
  3. 要計算第二步的加,先計算那個「乘式」,左邊是 31,右邊是一個括號
  4. 要計算第三步的乘,先計算括號裏面的「加式」,左邊是 5.5,右邊是 2
  5. 第四步的結果是 7.5,括號的結果是 7.5
  6. 第三步「乘」的結果是 232.5
  7. 第二步「加」的結果是 233.5
  8. 第一步「減」的結果是 229.5

最後得到結果是 229.5。
可見,把數學式表示成樹狀結構有兩個好處:

我真的沒算錯,不信你看
我真的沒算錯,不信你看

2️⃣ 計算數學式:爬樹計算器

俺敢打包票,每一臺高級卡西歐計算器裏面都用樹狀結構來表示數學式,並且都有遞歸算法來進行求值計算。

就像對於上面那個數學式的計算,我可以這樣實現(僅限加減乘除和括號:

function evaluate(expr: Expr): number {
  if (expr is Literal) {  // 純數字
    return expr.value;
  }
  if (expr is Grouping) {  // 括號
    return evaluate(expr.expression);
  }
  if (expr is Binary) {  // 加減乘除
    const left = evaluate(expr.left);
    const right = evaluate(expr.right);
    switch (expr.operator) {
      case '+': return left + right;
      case '-': return left - right;
      case '*': return left * right;
      case '/': return left / right;
    }
  }
}

除了數學式,編程語言的語法結構也可以塞進語法樹裏面,假設我有這麼一個 JS 代碼:

const a = 42;
function addA(d) {
    return a + d;
}
const c = addA(2) + 5;

那把他裏面的語句一條條組裝在一起,會呈現這樣一個語法樹⁴:

JS 語法樹
JS 語法樹

寫一個循環和遞歸,來一條條執行這些語法樹節點,一個解釋器就這麼憑空誕生了 🥳

這時候就有羣友要問了:語法樹有了,你的編譯器在哪裏?彙編在哪裏?你不要告訴我你可以在 CPU 裏面用 switch case!

😅:能跑就行,別催了,我還沒學到,下次一定

3️⃣ 解析數學式:玩弄字符串

到此爲止俺的編譯器旅程還是輕鬆愉快的,但是本文忽略了一個大問題……

怎麼構造那個樹狀結構❓❓

俺現在有一個字符串「1 + 31 * (5.5 + 2) - 4」,

要把這些文字轉換成樹狀結構,並且還要無視不同書寫格式導致的差異。
比如說,下面的 3 種寫法,都應該得到相同的結果:

// 1️⃣
1+31*(5.5+2)-4
// 2️⃣
1+   31  *(  5.5+ 2)  -4
// 3️⃣
1 + 3
1*(5.5+
2)-  // 這是註釋
4

這裏就需要一個能把字符串轉換成 token 的東西,就比如把上面那些亂七八糟的全部轉換成:

1 + 31 * ( 5.5 + 2 ) - 4

這樣類似一個字符串列表的數據結構,以便進一步分析。這個過程叫做「詞法分析」,所以編譯的第一步是寫一個詞法分析器(Scanner),並且至少要能區分數字,運算符號,括號等各個種類。

對於簡單的數學式計算,會用到下面這幾種 token:

enum TokenType {
  LEFT_PAREN, RIGHT_PAREN,
  DOT, MINUS, PLUS, SLASH, STAR,
  NUMBER,
  EOF
}

分類完 token,接下來就要正式開始了 😱
先欽定一下「形式語法」

expression     → term ;
term           → factor ( ( "-" | "+" ) factor )* ;
factor         → primary ( ( "/" | "*" ) primary )* ;
primary        → NUMBER 
               | "(" expression ")" 

欽定了

  1. 表達式是一串加減式
  2. 加減式的左邊和右邊可以混合一串乘除式
  3. 乘除式的左邊和右邊必須是數字或者括號
  4. 括號裏面可以是表達式
  5. 表達式是一串加減式(套娃)

有了一組如同套娃的語法規則,就可以用「遞歸下降」算法來識別那些 token 並構造語法樹了。

1 + 31 * ( 5.5 + 2 ) - 4

遞歸下降是個有點小燒腦,🤯,的算法,如果妳有興趣,請務必移步 Crafting Interpreters,那邊有對人類友好的解釋。簡單來說,算法從第一個 token 開始,關注這一個和下一個 token,並往後掃描:

  1. 最開始是 1 和 +,說明這是加式
  2. 加式的左邊是 1,右邊是一個……語法規定,右邊是加減式或者乘除式
  3. 接下來是 31 和 *,說明這是乘式
  4. 乘式的左邊是 31,右邊是一個……語法規定,右邊不是乘除式就是數字或括號
  5. 右邊是個括號,語法規定,括號裏面是加減式
  6. 接下來是 5.5 和 +,說明這是加式,左邊是 5.5,右邊是……是個數字 2
  7. 所以第四步的乘式右邊是個括號加式
  8. 所以第一步的右邊是第七步的乘式

得到

這個
這個

但是加減式是可以串聯的,俺們發現還剩一個 - 和一個 4,如法炮製,插入新的語法樹節點,最後就會得到本文一開始的語法樹了。

語法樹
語法樹

看起來很燒腦,實則一點都不容易,,,在構造語法樹節點的同時,還要注意檢測並報告不正確的語法,比如說,在循環外面 break 或者在函數外面 return。

俺花費了一個星期的 remote work 的空餘時間纔終於讓 Parser 跑起來。努力得到了回報,現在俺已經掌握了卡西歐計算器的核心科技了!

展望

我要大力感謝 Robert Nystrom 大大,他寫出了這麼好的書免費給我看 🥺
從開始學習到現在,俺花費了一個月,目前學到如何給語言增加面向對象的 Class 功能。

萬里長征,剛到一半 🥺

等我完成了所有語言功能,VM 的設計,就在前面!我已經迫不及待,😁,摩拳擦掌,👊🏻,準備要手撕一個自己的 VMProtect 出來了!

前輩們,我終將達到妳們的高度!
下次再見!

註釋

[1] 我自己。

[2] 手撕解釋器聖經 👉🏻 Crafting Interpreters

[3] 爛尾的 👉🏻 BGI引擎概論

[4] 語法樹製圖工具 https://www.jointjs.com/demos/abstract-syntax-tree


Previous Post
東京電玩展 2025 美少女遊戲勘探
Next Post
摸得越多相當於賺得越多——摸魚手法分享 🥰

評論區

妳的評論和建議是我前進的動力!
我很需要妳的評論!無論長短還是水,我都會非常高興 😘

darkreader icon 請停用 Dark Reader

親愛的 Dark Reader 用戶:

本博客已內置了深色模式,並且 Dark Reader 會導致部分元素顯示錯誤.
請在本博客上停用 Dark Reader,謝謝,,,

🌸
🌸
🌸